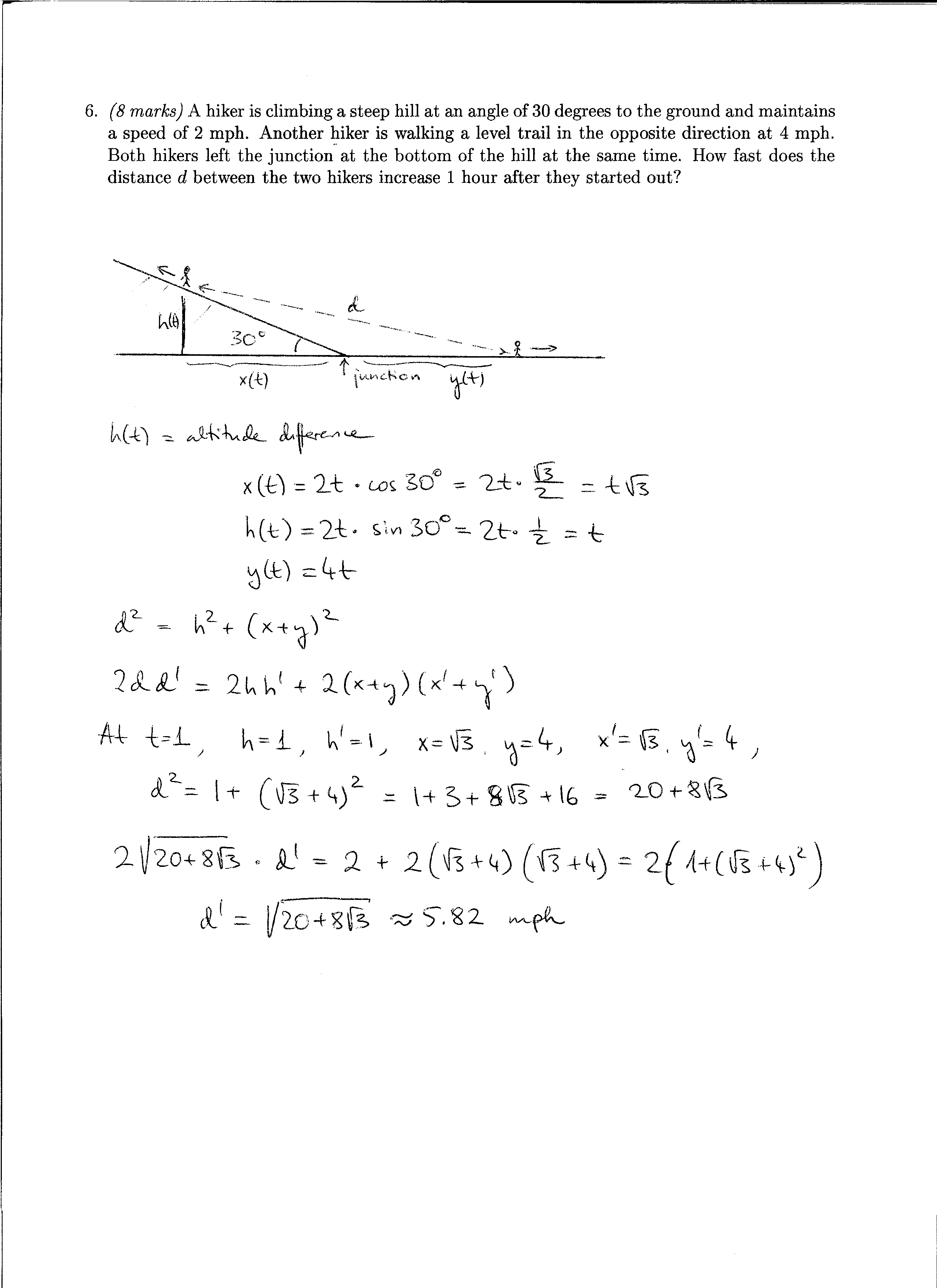
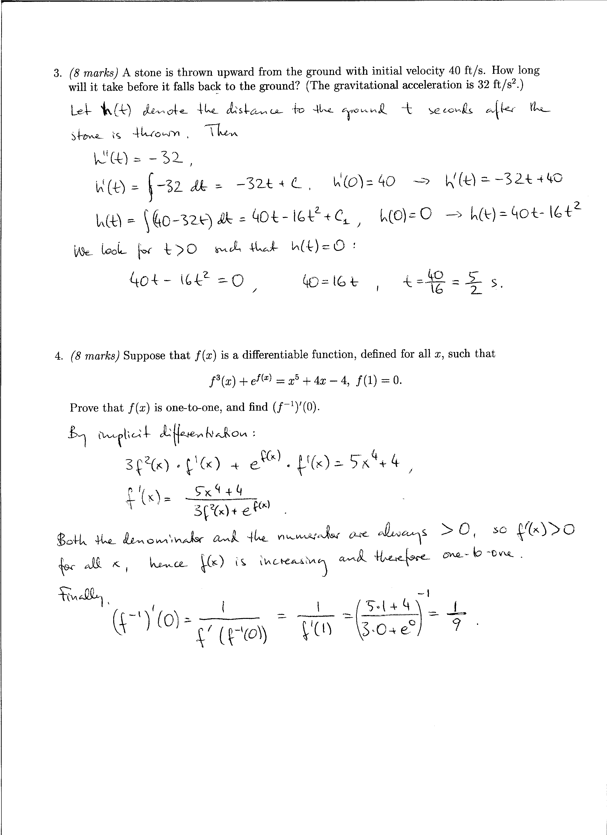
Mathematics 120 Midterm 2, solutions