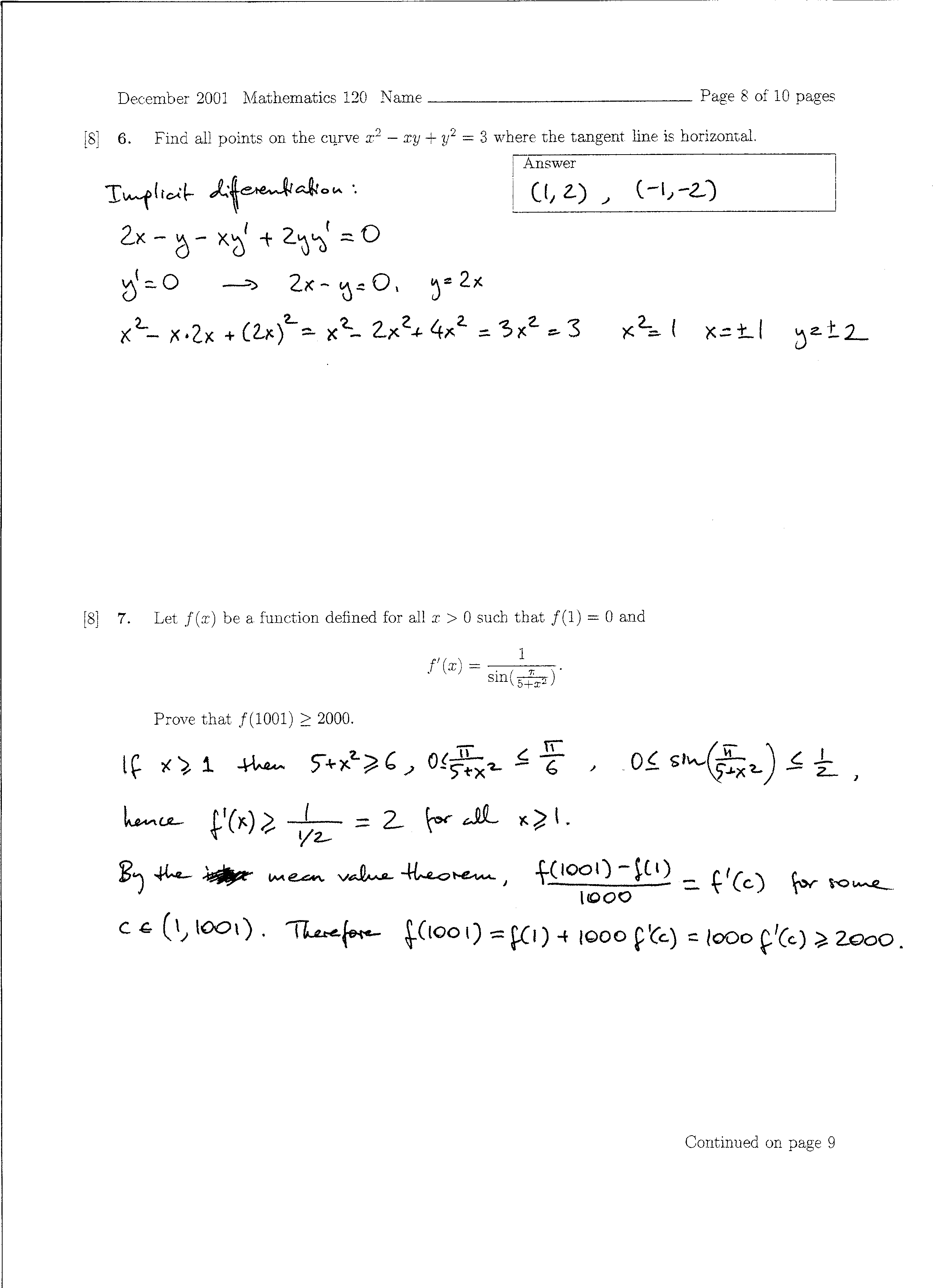
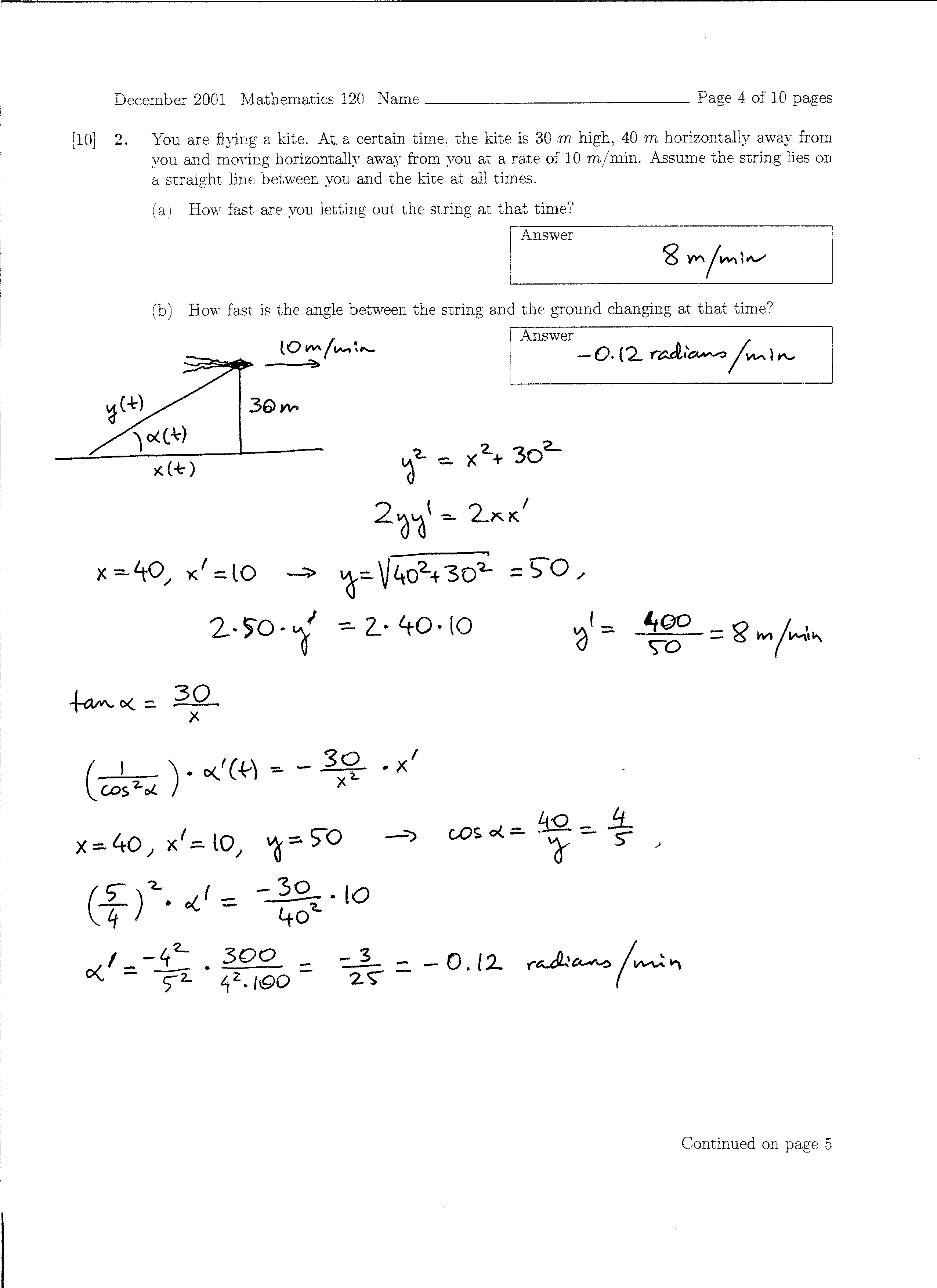
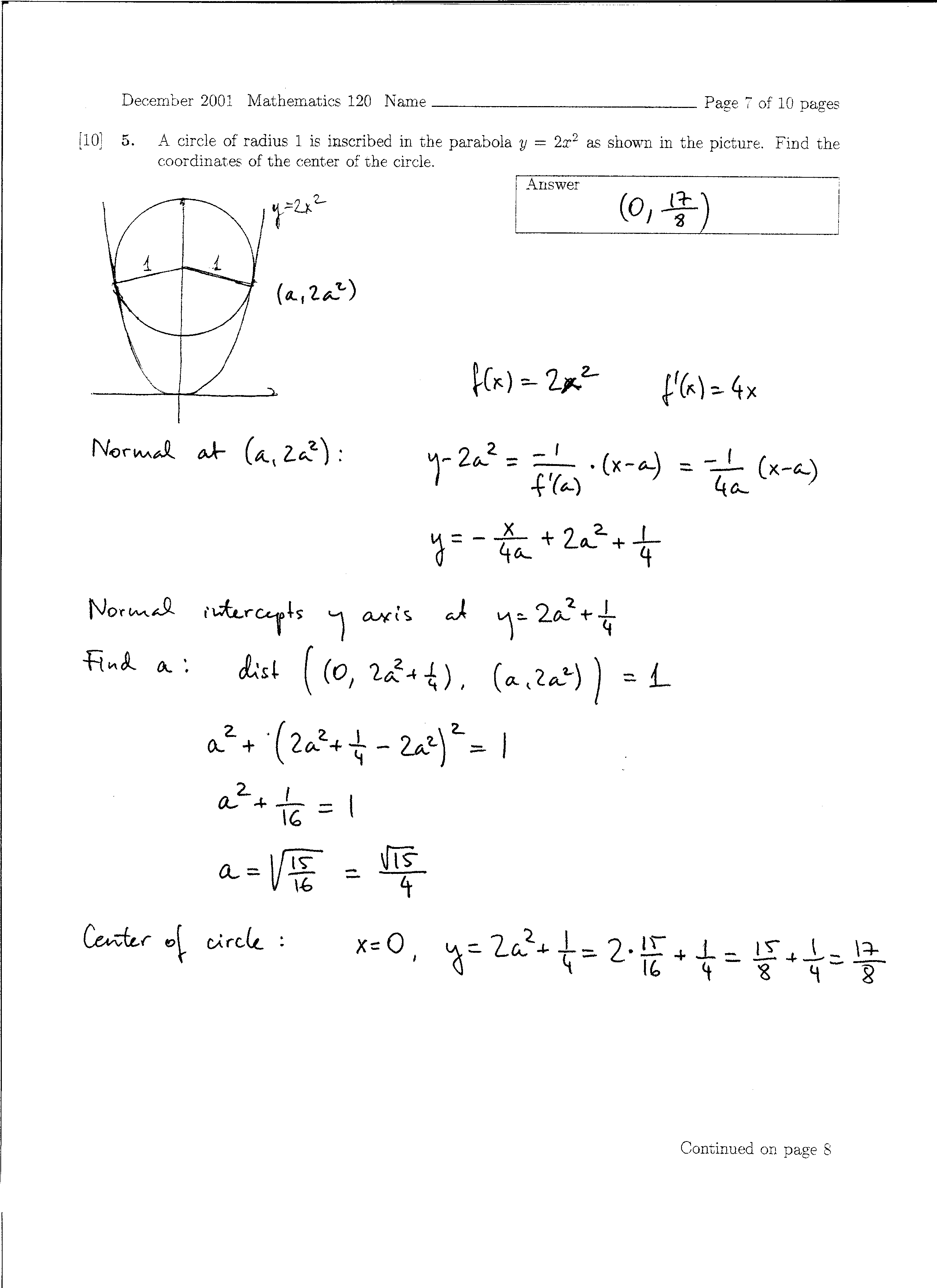
Mathematics 120 final exam, December 2001