Mathematics 121 Midterm #2
The grade distribution
was as follows:
40 marks: 0 students
35-39 marks: 18 students
30-34 marks: 11 students
25-29 marks: 3 students
20-24 marks: 0 students
15-19 marks: 1 students
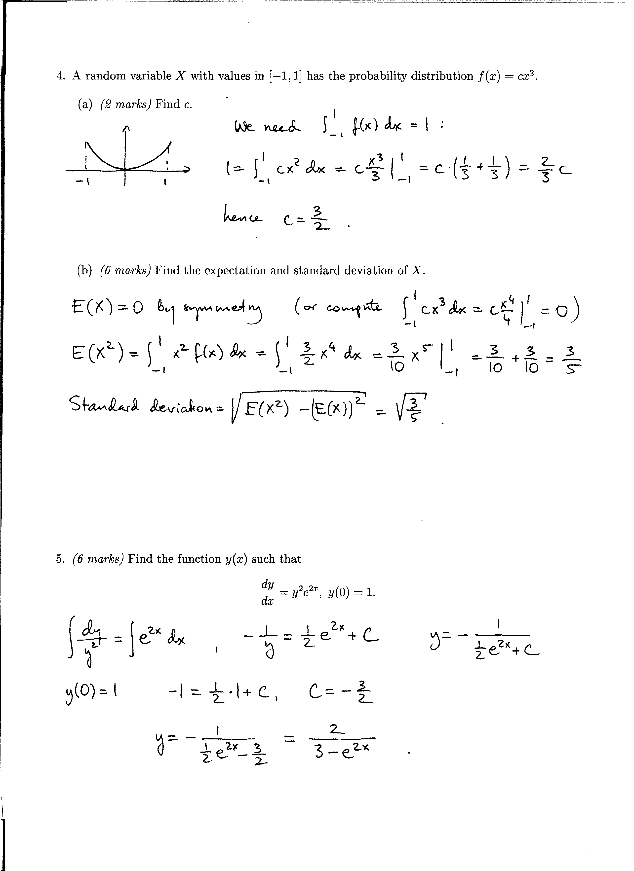
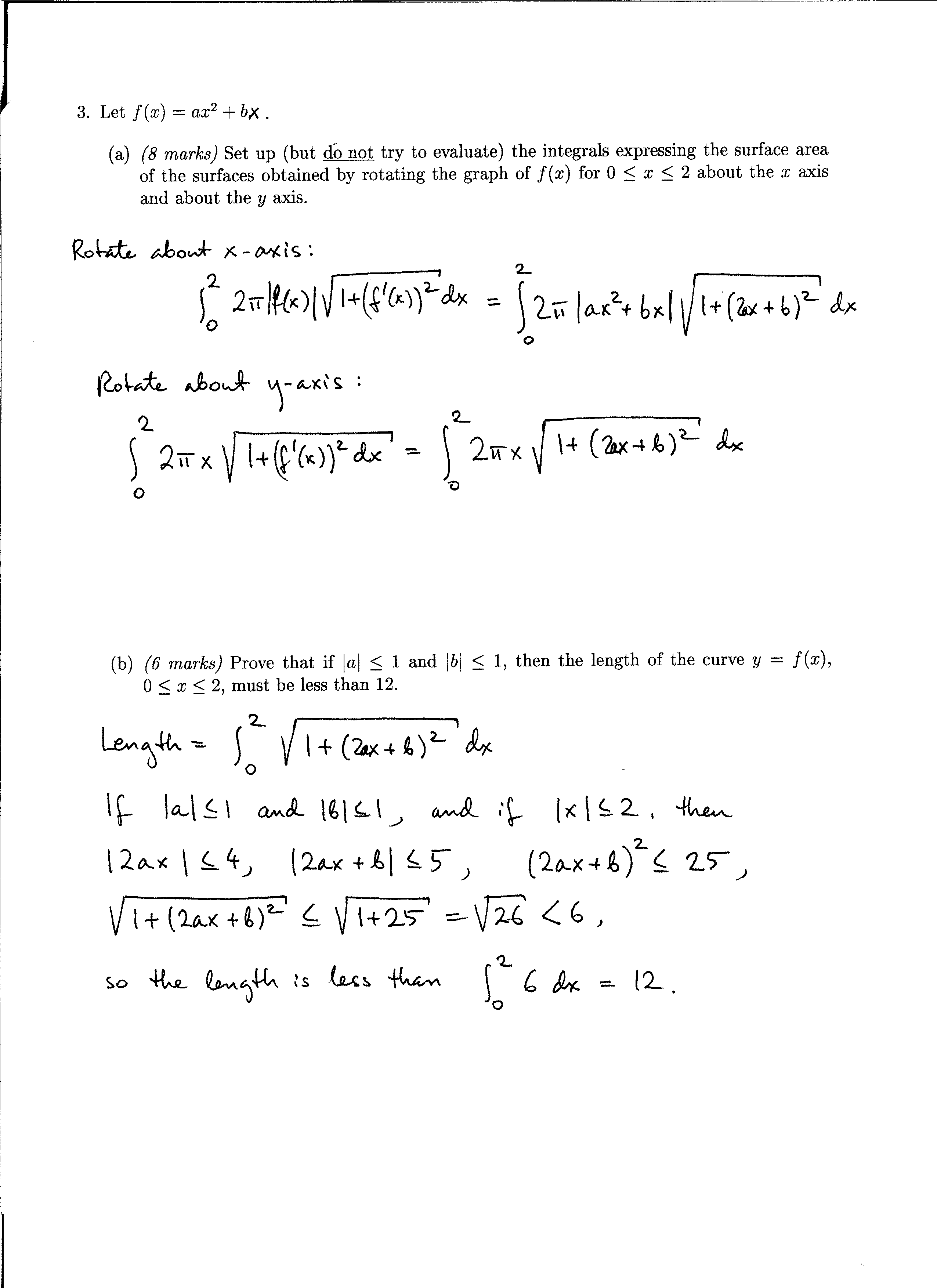
Solutions
are posted below.